
The EMPA laboratory, a key partner in the METRINO project, continues to advance the state-of-the-art in analytical methods for nanomedicine. Two recent publications from EMPA researchers highlight critical innovations designed to enhance safety, precision, and efficacy in nanoparticle characterization and electron microscopy, while significantly reducing laboratory hazards.
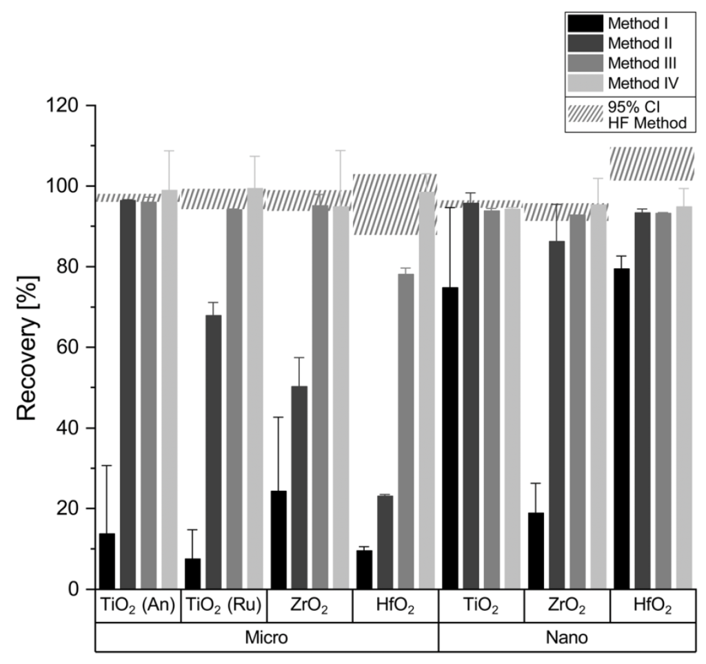
Group IV metal oxides (titanium, zirconium, and hafnium oxides) are extensively used in biomedical and industrial applications due to their stability and biocompatibility. However, their inert nature traditionally requires hydrofluoric acid (HF) for digestion—posing severe safety risks.
EMPA researchers developed an HF-free digestion method using sulfuric acid and hydrogen peroxide under microwave-assisted conditions. Their novel method achieved:

Read the full publication in Analytical Methods, Gerken et al., 2025.

Negative & Positive Staining Transmission electron microscopy (TEM) typically relies on uranyl acetate (UA), a radioactive and toxic reagent. EMPA conducted a systematic evaluation of commercial uranyl-alternative stains, identifying safer and highly effective substitutes:

NsTEM of POPC-liposomes on carbon support grids. The three columns and zoom-insets show the sample at increasing magnifications (see
scale bars: 500, 200, 100, 50 nm) with multilamellar liposomes and their individual lipid membranes visible (black arrows).
Selecting the optimal stain for TEM characterization can be challenging due to varying sample requirements. To simplify this process, EMPA developed GUIDE4U, a comprehensive, user-friendly decision-making tool that visually and systematically guides researchers through choosing the most suitable stain for their specific sample types. The tool evaluates critical staining parameters such as resolution, contrast, and preservation of structural integrity, ensuring reliable and reproducible imaging results.

Discover the detailed findings in Advanced Healthcare Materials, Kissling et al., 2025.
These breakthroughs are central to the METRINO project’s mission of developing precise, safe, and standardized metrological methods for innovative nanotherapeutics. EMPA’s research directly supports METRINO’s objectives by:
The Swiss Federal Laboratories for Materials Science and Technology (EMPA) is a leading interdisciplinary research institute renowned for its pioneering contributions in materials science and analytical technologies. As a pivotal partner of METRINO, EMPA drives innovation in metrology for healthcare and industrial nanotechnology applications.
Stay tuned for further updates and continued progress from EMPA and the METRINO project!
For more information, or to participate in advancing nanomedicine standards, please contact METRINO.
Follow METRINO on LinkedIn for the latest updates!
The project (22HLT04 MetrINo) has received funding from the European Partnership on Metrology, co-financed from the European Union’s Horizon Europe Research and Innovation Programme and by the Participating States. The authors will ensure that the following meta data is submitted and included for each paper: Funder name: European Partnership on Metrology . Funder ID: 10.13039/100019599. Grant number: 22HLT04 MetrINo
The METRINO project has received funding from the European Partnership on Metrology (Grant #22HLT04), co-financed from the European Union’s Horizon Europe Research and Innovation Programme and by the Participating States. Views and opinions expressed are however those of the author(s) only and do not necessarily reflect those of the European Union or EURAMET. Neither the European Union nor the granting authority can be held responsible for them.